Mushrooms can kill. Make no mistake about that, and do not allow others to tell you otherwise. Even those that are experienced and wise can make a mistake that alters their life, and the lives around them, forever. Such is the case of Nicholas Evans, author of the bestseller “Horse Whisperer.” While visiting family in Scotland, he and his wife picked and consumed what they thought were ceps and chanterelles. Even though he had picked mushrooms his whole life, he made a mistake, and had instead picked mushrooms of the genus Cortinarius. Thankfully none of the children ate any, but he and his wife went through agonizing kidney failure. Mr. Evans wrote:
I thought we were going to die. And there were times, in the dark, early hours of another sleepless night, when but for the thought of my children, I rather wanted to.
Thankfully, Mr. Evans received a gift of life in the form of a kidney, donated by his daughter. His wife, songwriter Charlotte Cumming, received a kidney donated by a friend. Both are now doing well, but to go from healthy to kidney failure in a matter of days is harrowing. Their story is thoroughly documented, but the source I chose is a first-person account published in the British Medical Journal (1), found here, and a must-read for clinicians.
The cause of the Mr. Evans and Ms. Cummings kidney failure was the mushroom genus Cortinarius. There are over 2000 species in the genus, but two make up the deadly duo known as the “lethal webcaps”: Cortinarius orellanus and Cortinarius rubellus (formerly speciosissimus). They are common throughout Northern Europe and parts of North America, and while not all Cortinarius are poisonous, it can be difficult to distinguish poisonous from safe, and often recommended that none should be consumed. Poisoning due to the lethal webcaps are relatively rare, however. In the United States in 2012, out of 6,600 mushroom poisoning calls made to poison control centers, only one was due to Cortinarius (2). And a 14 year Swiss survey found only two incidences of Cortinarius poisoning (3). So why the to-do about something that is relatively rare? Well, it hasn’t always been rare, and when one is poisoned, severe and irreversible kidney failure is the result.
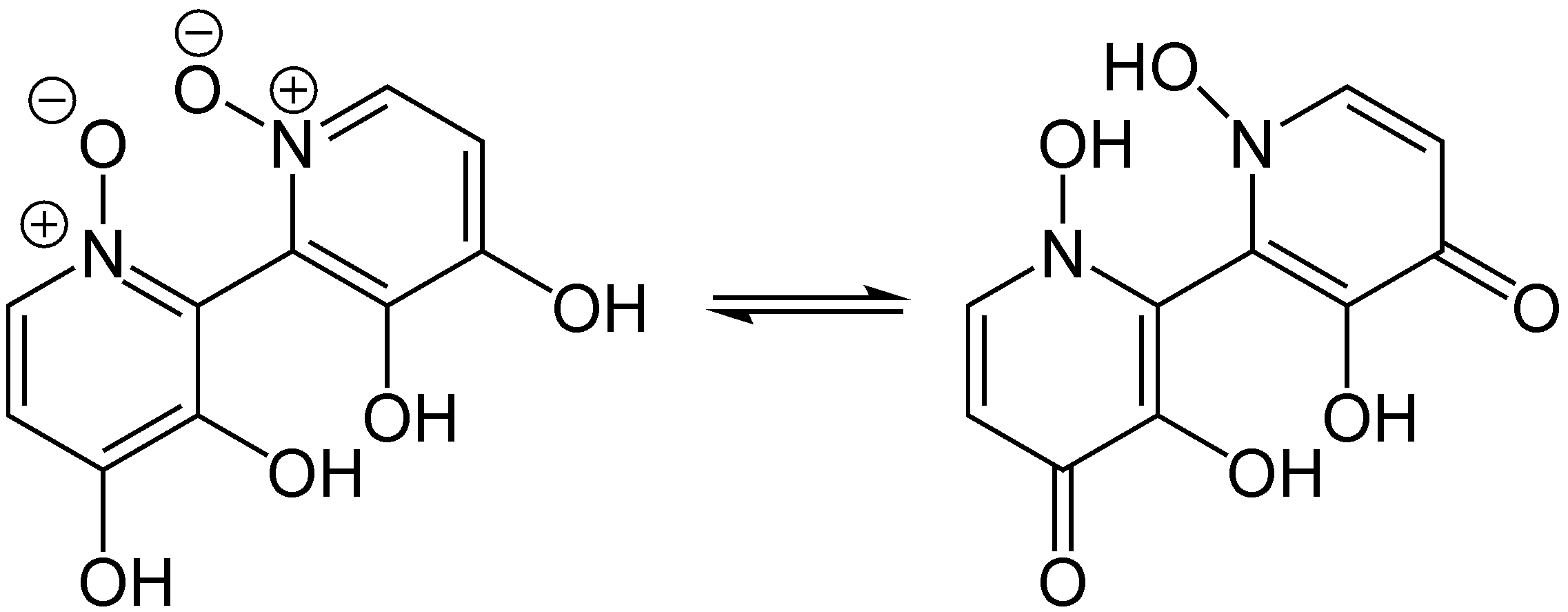
The cause of Cortinarius orellanus and Cortinarius rubellus induced kidney failure is the nondescript looking chemical orellanine. Orellanine, structurally, is a pyridine N-oxide, and exists as two tautomers. The favored tautomer is the bis-N-oxide (that’s the one on the left in the figure, below). Another notable pyridinium is paraquat, an herbicide that kills everything green and doesn’t hold back against humans either. Despite being linked to Parkinson’s disease, it is one of the most widely used herbicides in the world. So just from a structural standpoint alone, a good chemist or pharmacologist would suspect that orellanine is up to no good.
Once orellanine had been ingested, using one of the lethal webcaps as a delivery system, the latent period before onset of symptoms is between 12 hours to 14 days, with the average being 3 days (4). So you are poisoned, with irreversible kidney failure in your future, but may not know it for a week. Sinister. Initial symptoms are flu-like, and include: vomiting, excessive thirst, nausea, and pain (4). This is what is termed the “prerenal phase.” What occurs next is, you guessed it, the “renal phase.” Symptoms here are extreme lumbar pain (around the kidneys), low or no urine output, and proteinuria. [Proteinuria is an excess of protein in the urine, a clear sign of kidney damage, and is what makes your urine “foamy” – guys know what I’m talking about.] Treatment is just supportive care. There is no cure. There is no made-for-TV antidote. Outcomes are renal failure and inevitable dialysis or kidney transplantation. In extreme situations people die, or wish they had.
Because the onset of symptoms can be delayed, it could be difficult to determine the cause of the kidney failure. Good clinicians would be aware of this type of poisoning, but just like plumbers or teachers, there are good and bad doctors out there. There are however, assays (tests) available for detecting orellanine. It can be detected in blood, but more often detected in kidney tissue via biopsy (5). Orellanine can even be detected 6 moths after ingestion. The exact mechanism of orellanine induced nephrotoxicity is still largely unknown, but is thought to be brought upon by oxidative stress involving free-radical formation and impairment of antioxidative enzymes (6).
Most poisonings are of the accidental kind, with a smattering of intentional ingestions. What is interesting however, is the ingestion of orellanine containing Cortinarius orellanus due to mistaking it for psychoactive “Magic Mushrooms” (7, 8, 9). These types of poisonings are increasing due to inexperienced collectors seeking a cheap hallucinogenic experience. These poisonings have even led to erroneous conclusions, and course of treatment, when poisoning due to “Magic Mushroom” species are suspected (10, and rebuttal 11).
Only extremely experienced mushroom hunters, or extremely hungry lost-in-the-woods amateurs, should ever harvest mushrooms. * I jest. Don’t do this. Even survival experts debate the utility of expending energy searching for low calorie mushrooms. The “test” of consuming a small portion of an unknown mushroom first, and seeing how you react, would not work in the case of Cortinarius orellanus, as symptoms of poisoning can occur days later. My advice, though cowardly, is to only mushroom in the grocery store or local farmers market. Your kidneys, ER doctors, and nephrologists will thank you.
For a mushroom primer and myths, see the introduction to Mushroom Week.
[Featured homepage image of Cortinarius rubellus by Eric Steinert (CC 3.0)]
References:
1. Evans, N., A. Hamilton, M. J. Bello-Villalba, and C. Bingham. “Irreversible Renal Damage from Accidental Mushroom Poisoning.” British Medical Journal 345. Aug10 1 (2012): E5262.
2. Mowry, James B., Daniel A. Spyker, Louis R. Cantilena, J. Elise Bailey, and Marsha Ford. “2012 Annual Report of the American Association of Poison Control Centers’ National Poison Data System (NPDS): 30th Annual Report.” Clinical Toxicology51.10 (2013): 949-1229.
3. Schenk-Jaeger, Katharina M., Christine Rauber-Lüthy, Michael Bodmer, Hugo Kupferschmidt, Gerd A. Kullak-Ublick, and Alessandro Ceschi. “Mushroom Poisoning: A Study on Circumstances of Exposure and Patterns of Toxicity.”European Journal of Internal Medicine 23.4 (2012): E85-91.
4. Danel, V.c., P.f. Saviuc, and D. Garon. “Main Features of Cortinarius Spp. Poisoning: A Literature Review.” Toxicon 39.7 (2001): 1053-060.
5. Rapior, S., N. Delpech, C. Andary, and G. Huchard. “Intoxication by Cortinarius Orellanus: Detection and Assay of Orellanine in Biological Fluids and Renal Biopsies.”Mycopathologia 108.3 (1989): 155-61.
6. Nilsson, U. A., J. Nyström, L. Buvall, K. Ebefors, A. Björnson-Granqvist, J. Holmdahl, and B. Haraldsson. “The Fungal Nephrotoxin Orellanine Simultaneously Increases Oxidative Stress and Down-regulates Cellular Defenses.” Free Radical Biology and Medicine 44.8 (2008): 1562-569.
7. Calviño, Jesus, Rafael Romero, Elena Pintos, Daniel Novoa, Dolores Güimil, Teresa Cordal, Javier Mardaras, Victor Arcocha, Xosem. Lens, and Domingo Sanchez-Guisande. “Voluntary Ingestion of Cortinarius Mushrooms Leading to Chronic Interstitial Nephritis.” American Journal of Nephrology 18.6 (1998): 565-69.
8. Franz, M., H. Regele, M. Kirchmair, J. Kletzmayr, G. Sunder-Plassmann, W. H. Horl, and E. Pohanka. “Magic Mushrooms: Hope for a ‘cheap High’ Resulting in End-stage Renal Failure.” Nephrology Dialysis Transplantation 11.11 (1996): 2324-327.
9. E Raff, P F Halloran, and C M Kjellstrand, “Renal failure after eating “magic” mushrooms.” Canadian Medical Association Journal 147:9 (1992): 1339-1341.
10. Deutsch, C. J., and D. Swallow. “Deliberate Ingestion of “magic” Mushrooms May Also Cause Renal Failure.” Bmj 345.Sep24 2 (2012): E6388.
11. Tuddenham, E. G. “”Magic” Mushrooms Don’t Cause Renal Failure.” Bmj 345.Oct17 1 (2012): E6893.



Pingback: Mushroom Week on Nature’s Poisons | Nature's Poisons
Reblogged this on Virginias Touch Photography, and Astrology Graphics and commented:
Deadly Fungi
In the state of Georgia it is illegal to sell wild foraged mushrooms without certification. However everyone does it illegally at farmers markets. Restaurants, too, buy foraged wild mushrooms from people who may or may not know what they are doing. It is a huge risk to the consumer, and most people are not aware of the dangers, for example, when they sit down at a fine dining restaurant and order the dish with wild mushrooms.
Thanks, I did not know such regulations existed. I’d like to think that mushroom foragers would be knowledgeable about their products, and that a chef that would buy such mushrooms would know themselves which ones they want, but I guess there are unscrupulous people out there. Especially when mushrooms can bring big money.
Thanks for reading!
So did he mistake it for a cinnabar or a bolete? Both seem like incredibly foolish conclusions. Did he not even look at the gills or what?
Did he even look at the mushrooms? It would be essentially impossible to mistake a bolete for a Web cap; was it the webing he mistook on a baby as pores or did he think this was a Cinnabar?
I imagine he looked at them, but how closely I have no idea. I agree, the boletes are supposed to be the “easy” ones to identify. Regardless, a tragic way to learn a lesson.
Pingback: The Poisonous ABCs: From Aconitine to Zetekitoxin | Nature's Poisons
A common hazard when foraging for mushrooms is not paying particular attention each-and-every-time you collect a specimen. It’s all too easy in a bloom of Chanterelles to have other things hidden amongst them, as an example.
I’ve known people who were put collecting Agaricus campestris and upon returning home discovered an (unidentified) pure white mushroom, potentially something in the Amanita family or otherwise. Boundary conditions between habitats and habitat itself aren’t always conclusive indicators for identification!
having enthusiastically picked and eaten chanterelles in Scotland, I can say that their golden egg yolk colour, and more importantly their subtle aroma and taste of apricots, is unmistakable.